GIỚI THIỆU VỀ PHƯƠNG TRÌNH VI PHÂN .
Chương 6 -
PHẦN 3 .
-Bài toán Sturm - Liouville
-Các hàm đặc biệt .
GIẢI TRÍ - Đố vui: 6 con ếch
![]() |
| Kết quả |
» Luật chơi :
- Click vào các con ếch để chúng nhảy tới phía trước .
- Các con ếch không thể nhảy lùi về phía sau .
- Các con ếch hoặc nhảy tới hòn đá trống phía trước, hoặc nhảy qua đầu 1 con ếch khác màu khác và đáp xuống 1 hòn đá trống phía sau .
- Nhiệm vụ của các bạn là làm sao để các con ếch đến được phía đối diện là hoàn thành.
- Nhiệm vụ của các bạn là làm sao để các con ếch đến được phía đối diện là hoàn thành.
Loạt bài sau đây giới thiệu về phương trình vi phân một cách tổng quan , các khái niệm cơ bản và phương pháp giải được trình bày tinh giản dễ hiểu . Bạn đọc có thể sử dụng các phần mềm hoặc công cụ online trích dẫn chi tiết trong bài viết này để hỗ trợ cho việc học tập và nghiên cứu . Ngoài ra tác giả cũng sẽ đề cập đến những ví dụ minh họa cụ thể , các mô hình thực tế có ứng dụng trong lĩnh vực phương trình vi phân .
Trần hồng Cơ .
12/12/2013 .
****************************************************************************
This work is licensed under a Creative Commons Attribution-NonCommercial-NoDerivs 3.0 United States License.
8. Ứng dụng cho phương trình vi phân đạo hàm riêng .
8.1 Bài toán truyền nhiệt .
8.1.1 Phát biểu bài toán .
+Xét một thanh truyền nhiệt có chiều dài L , đồng chất một chiều , đặt nằm ngang . Tại 2 điểm đầu : x = 0 và x = L , nhiệt độ tại đó bằng 0 . Vấn đề đặt ra là cần tìm hiểu dòng nhiệt được truyền như thế nào ở những vị trí khác nhau tại từng thời điểm .
Gọi u(x,t) hàm là nhiệt độ đo được tại vị trí x và thời điểm t .
Điều kiện biên tại 2 điểm đầu là
u(0,t) = u(L,t) = 0 , " t .
Nhiệt độ được phân bố tại thời điểm ban đầu là u(x,0) = f(x) , với f(x) là hàm đủ trơn " x Î [ 0,L] . Giả sử rằng ở một điểm trên thanh ta có quan hệ
$\frac{\partial u}{\partial t}=K\frac{\partial^2 u}{\partial x^2}$
Trong đó K là hằng số dương mô tả tính chất nhiệt của nguyên liệu thanh . Tóm lại bài toán truyền nhiệt Fourier có thể phát biểu như sau :
Tìm hàm u(x,t) là nghiệm của phương trình (5)
$\frac{\partial u}{\partial t}-K\frac{\partial^2 u}{\partial x^2}=0,x\in [0,L]$
u(0,t) = u(L,t) = 0 , " t .
u(x,0) = f(x) , " x Î [ 0,L] .
8.1.2 Nghiệm của bài toán truyền nhiệt .
+Trở lại với ví dụ ở Chương 6 - Phần 2 - 4.2 xét phương trình
$\left\{\begin{matrix}y"+ky=0\\y(0)=y(\pi)=0 \end{matrix}\right.$
Dạng toán tử
$\left\{\begin{matrix}L[y]=-ky\\y(0)=y(\pi)=0\end{matrix}\right.$
Với
$n=\sqrt{k},n \in \mathbb{Z}^{+}$
Ta có { sinnx , n =1,2 ,... } là cơ sở trực giao .
Khi thay $y(0)=y(L)=0$ cơ sở trực giao sẽ chuyển thành { sin(npx/L) , n =1,2 ,... } tương ứng với hàm trọng số R(x) = 1 . Ở thời điểm t cố định ta biểu diễn nghiệm u(x,t) theo dạng chuỗi hàm sin như sau :
$u(x,t)=\sum_{j=1}^{\infty}a_j(t) sin(j\pi x/L)$
Với $a_j(t)= 2/L.\int_{0}^{L}u(x,t)sin(j\pi x/L)dx$
Mục tiêu chính ở đây là cần tìm biểu thức của $a_j(t)$ .
-Tính đạo hàm của u(x,t) theo biến t , ta có
$\frac{\partial u}{\partial t}=\sum_{j=1}^{\infty }a_j'(t)sin(j\pi x/L)$
-Tính đạo hàm cấp 2 của u(x,t) theo biến x , ta có $\frac{\partial^2 u}{\partial x^2}=-\sum_{j=1}^{\infty }(j\pi /L)^2a_j(t)sin(j\pi x/L)$
Thay vào phương trình $\frac{\partial u}{\partial t}-K\frac{\partial^2 u}{\partial x^2}=0,x\in [0,L]$
ta thu được
$\sum_{j=1}^{\infty }a_j'(t)sin(j\pi x/L)+K\sum_{j=1}^{\infty }(j\pi /L)^2a_j(t)sin(j\pi x/L)=0$ hay
$\sum_{j=1}^{\infty }[a_j'(t)+K(j\pi /L)^2a_j(t)]sin(j\pi x/L)=0$
Vì tập hợp các hàm $sin(j\pi x/L)$ là cơ sở trực giao nên ta có
$a_j'(t)+K(\pi /L)^2 j^2 a_j(t)=0$ , " j = 1,2,...
Đặt
$\psi=K(\pi /L)^2$ khi đó hệ phương trình xác định $a_j(t)$ là
$a_j'(t)+\psi j^2 a_j(t)=0$ , " j = 1,2,...
Đây là phương trình vi phân tuyến tính cấp 1 , nghiệm tổng quát là (6)
$a_j(t) = C_j e^{-\psi j^2 t}$ Thay vào biểu thức nghiệm ta có (7)
$u(x,t)=\sum_{j=1}^{\infty}C_j e^{-\psi j^2 t} sin(j\pi x/L)$
Từ điều kiện u(x,0) = f(x) , " x Î [ 0,L] ta có
$f(x) = u(x,0)=\sum_{j=1}^{\infty}C_j sin(j\pi x/L)$
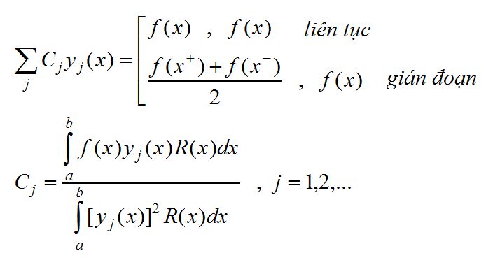
Điều này có nghĩa là hàm cho trước f(x) được khai triển theo chuỗi hàm sin , các hệ số $C_j$ được tính bởi công thức
$C_j=\frac{2}{L}\int_{0}^{L}f(x)sin\left ( \frac{j\pi x}{L} \right )dx$
8.2 Bài toán dao động của dây đàn hồi .
8.2.1 Phát biểu bài toán .
Trần hồng Cơ .
--/--/2013 .
This work is licensed under a Creative Commons Attribution-NonCommercial-NoDerivs 3.0 United States License.
-------------------------------------------------------------------------------------------
Hướng Chân Thiện Mỹ
Độc lập tư duy
Hoài nghi hợp lý
Tự do sáng tạo .


































